网站首页  词典首页


请输入您要查询的字词:

 

字词 硝基头孢因
类别 中英文字词句释义及详细解析
释义 硝基头孢因

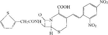
C21H16N4O8S2=516.50

CAS-41906-86-9

(7R)-3-[(E)-2,4-二硝基苯乙烯基]-7-(2-噻吩乙酰胺基)-3-头孢-4-羧酸。

(7R)3-[(E)-2,4-Dinitrostyryl]-7-(2-thienylacetamido)-3-cephem-4-carboxylic acid.

3-[2-(2,4-二硝基苯基)乙烯基]-8-氧代-7β-[(2-噻吩乙酰)氨基]-5-硫代-1-氮杂双环[4.2.0]辛-2-烯-2-羧酸。

3-[2-(2.4-Dinitrophenyl)ethenyl]-8-oxo-7β-[(2-thienylacetyl)amino]-5-thia-1-azabicycli[4.2.0]oct-2-ene2-carboxylic acid.

诊断用药。

为β-乳胺酶检查试剂。

头孢尼特罗,硝噻吩头孢菌素。

Nitrocefin,Cephalosporin 87-312.

BAN,USAN.

随便看

 

离鸟网收录3541549条中英文词条,其功能与新华字典、现代汉语词典、牛津高阶英汉词典等各类中英文词典类似,基本涵盖了全部常用中英文字词句的读音、释义及用法,是语言学习和写作的有利工具。

 

Copyright © 2004-2024 vtrois.com All Rights Reserved
更新时间:2026/4/21 20:48:13