网站首页  词典首页


请输入您要查询的字词:

 

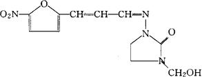
字词 硝呋马佐
类别 中英文字词句释义及详细解析
释义 硝呋马佐

C11H10N4O6=294.22

CAS-18857-59-5

3-(羟甲基)-1-[[3-(5-硝基-2-呋喃基)烯丙亚基]氨基]乙内酰脲。

3-(Hydroxymethyl)-1-[[3-(5-nitro-2-furyl)allylideneamino]hydantoin.

抗菌药,抗感染药。

Nifurmazole,10615 CB.

INN,USAN.

随便看

 

离鸟网收录3541549条中英文词条,其功能与新华字典、现代汉语词典、牛津高阶英汉词典等各类中英文词典类似,基本涵盖了全部常用中英文字词句的读音、释义及用法,是语言学习和写作的有利工具。

 

Copyright © 2004-2024 vtrois.com All Rights Reserved
更新时间:2026/4/19 6:24:15