网站首页  词典首页


请输入您要查询的字词:

 

字词 石灰转窑热量衡算
类别 中英文字词句释义及详细解析
释义 石灰转窑热量衡算

[说明]石灰转窑的热量衡算方框图如下:

图中 Q1——燃料供入热量(kJ/h)

Q2——喷油雾化供入热量(kJ/h)

Q3——物料带入热量(kJ/h)

Q4——燃烧空气带入热量(kJ/h)

Q5——CaCO3生成CaO反应吸收热量(kJ/h)

Q6——烧成石灰带走热最(kJ/h)

Q7——白泥中水分蒸发等吸收热量(kJ/h)

Q8——排烟带走热量(kJ/h)

Q9——窑体散热损失(kJ/h)

Q10——其他热损失(kJ/h)

1.燃料供入热量Q1

式中 G1——燃料消耗量(kg/h)

Qy——燃料应用基低位发热量(kJ/kg)

C1——燃料比热容[kJ/(kg·℃)],对重油C1=1.88

t1——入窑燃料温度(℃)

t——环境温度(℃)

2.油枪喷油雾化用蒸汽供入热量Q2

式中 D2——雾化耗用蒸汽量(kg/h)

i2——雾化耗用蒸汽比能(kJ/kg)

i——环境温度下水的比能(kJ/kg)

3.物料带入热量Q3

式中 G3——绝干白泥物料量(kg/h)

C3——绝干白泥物料比热容[kJ/(kg·℃)],取C3=1.05

W——白泥中水分量(kg/h)

C——水的比热容[kJ/(kg·℃)]

t2——入窑的湿白泥温度(℃)

t——环境温度(℃)

G'3——补充石灰石量(kg/h)

G'3——石灰石比热容[kJ/(kg·℃)],取1.05

t'2——入窑的补充石灰石温度(℃)

4.燃烧空气带入热量Q4

式中 V——燃烧用空气量(m3/h)

C4——空气平均比热容[取1.3kJ/(kg·℃)]

t4——入窑时空气温度(℃)

t——环境温度(℃)

5.CaCO3生成CaO应吸收热量Q5

式中 3178——生成1千克CaO时所需吸热量(kJ/kg)

G5——生石灰产量(kg/h)

6.烧成生石灰带走热量Q6

式中 G6——生成生石灰量(kg/h)

C6——生石灰比热容[取1.05kJ/(kg·℃)]

t6——生石灰温度(℃)

t——环境温度(℃)

7.白泥中水分蒸发等级吸收热量Q7

式中 W——白泥中水分量(kg/h)

t1——入窑白泥中的水温(℃)

r——水的汽化潜热(kJ/kg),取r=539

C7——过热蒸汽比热容[取1.93kJ/(kg·℃)]

t7——排烟温度(℃)

8.排烟热损失Q8

式中 V8——排烟量(m3/h)

C8——烟气比热容[取1.42kJ/(kg·℃)]

t0——排烟温度(℃)

Q7——白泥中水分蒸发等级吸收热量(kJ/h)

9.窑体散热损失Q9

式中 F——窑体散热面积(m2)

K——传热系数[kJ/(kg·℃)]

t9——窑体散热面外表温度(℃)

t——环境温度(℃)

10.其他热损失Q10(略)

11.石灰转窑正平衡热效率η1

式中符号含义及单位同上

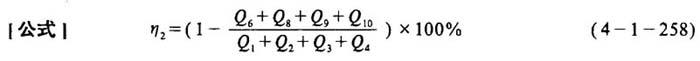
12.石灰转窑反平衡热效率η2

式中符号含义及单位同上

随便看

 

离鸟网收录3541549条中英文词条,其功能与新华字典、现代汉语词典、牛津高阶英汉词典等各类中英文词典类似,基本涵盖了全部常用中英文字词句的读音、释义及用法,是语言学习和写作的有利工具。

 

Copyright © 2004-2024 vtrois.com All Rights Reserved
更新时间:2026/4/18 10:26:31