网站首页  词典首页


请输入您要查询的字词:

 

字词 石灰用量及石灰乳浓度的计算实例
类别 中英文字词句释义及详细解析
释义 石灰用量及石灰乳浓度的计算实例

【例】
❶ 计算制漂过程中,100kg氯所需用的硝石灰或生石灰的量。石灰的纯度为85%:
❷ 当制造含有效氯浓度为30g/L的漂液时,石灰乳液的浓度应为多少。

解:
❶ 硝石灰或生石灰用量的计算

根据制漂反应:

2Cl2+2Ca(OH)2→Ca(OCl)2十CaCl2+2H2O

Cl2∶Ca(OH)2→71∶74=1∶1.04

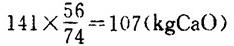
即理论上100kg氯需104kgCa(OH)2或79kgCaO进行完全反应。实际上100kg氯需要的硝石灰量:

需要的生石灰量为:

❷ 石灰乳液的浓度计算

随便看

 

离鸟网收录3541549条中英文词条,其功能与新华字典、现代汉语词典、牛津高阶英汉词典等各类中英文词典类似,基本涵盖了全部常用中英文字词句的读音、释义及用法,是语言学习和写作的有利工具。

 

Copyright © 2004-2024 vtrois.com All Rights Reserved
更新时间:2026/4/18 5:27:25