网站首页  词典首页


请输入您要查询的字词:

 

字词 短刺虎刺
类别 中英文字词句释义及详细解析
释义 短刺虎刺

【名称出处】:植物分类学报

【概况】:

异名 岩石羊(广西灌阳),树莲藕(广西临桂),半球莲(广西恭城)。

基源 为茜草科虎刺属植物短刺虎刺的根、叶。虎刺属全世界约10种;中国有7种和1亚种。

原植物 短刺虎刺Damnacanthus subspinosus Hand.-Mazz.

历史 本品首次载于《植物分类学报》第17卷第3期,谓其块根药用,味微苦甘,性平,无毒,功能补养气血,收敛止血。《广西药用植物名录》亦有收载。

形态 多枝有刺灌木,通常高0.5m左右;小枝纤细,屈曲,无毛,通常仅顶端有1对短刺,刺长不超过3mm。叶对生,薄革质,披针形或椭圆状披针形,长4~15cm,顶端渐尖,基部楔形或近圆,边缘稍反卷,上面光滑无毛,下面稍粗糙,中脉在上面凹陷,侧脉5~8对;叶柄稍纤细,长2~4mm;托叶在叶柄间,顶端急尖,长约1mm,脱落。

花小,白色,2~3朵簇生于叶腋,近无花梗;花萼钟状,萼裂片4,顶端短渐尖;花冠漏斗形,喉部被毛,花冠裂片4,卵形,无毛;雄蕊4,著生在冠管上,花丝短,伸出;花柱伸出。核果球形,直径5~7mm,无毛,有1~2颗分核。

花果期4~7月。

生境与分布 生于山地林中或丘陵灌丛。分布于江西、福建、湖南、广东、广西、贵州。

【化学】:

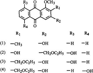
含茜根定-1-甲醚(Rubiadin-1-methyl ether)(1)[1],短刺虎刺素(Subspinosin)[1](即虎刺素-ω-乙基醚[2])、8-羟基短刺虎刺素(8-Hydroxysubspinosin)(2)[1]、8-羟基虎刺素-ω-乙基醚(8-Hydroxydamnacanthol-ω-ethyl ether)(3)[3]、5-羟基虎刺素-ω-乙基醚(5-Hydroxydamnacanthol-ω-ethyl ether)(4)[4]

参考文献 [1] 药学学报 1981;16(8):576 [2] 药学学报 1990;25(3):173 [3] 药学学报 1984;19(9):681 [4] 药学学报 1986;21(4):303

【药性】:

性味 《新华本草纲要》:“根:苦,平。”

功效 滋养补血,收敛止血。根:补气,安神,止咳。

主治 《广西药用植物名录》:“根:用于神经衰弱,贫血,肝炎,瘰疬,骨结核,小儿疳积,肿瘤。叶:用于跌打损伤。

随便看

 

离鸟网收录3541549条中英文词条,其功能与新华字典、现代汉语词典、牛津高阶英汉词典等各类中英文词典类似,基本涵盖了全部常用中英文字词句的读音、释义及用法,是语言学习和写作的有利工具。

 

Copyright © 2004-2024 vtrois.com All Rights Reserved
更新时间:2026/4/18 15:49:00