网站首页  词典首页


请输入您要查询的字词:

 

字词 矢量方程图解法
类别 中英文字词句释义及详细解析
释义 矢量方程图解法

矢量方程图解法:按照相对运动原理列出的速度、、加速度矢量方程,用一定比例尺画出位置图、速度图、加速度图,从图中测量出相应的线段,求出速度、加速度。

作法:

❶ 选取μ1,画出位置图a)。

❷ vB=1ABω1,方向⊥AB,指向同ω1一致。

❸  取μ;由(A)式画出速度图b)。

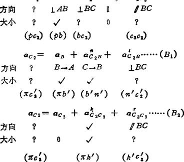
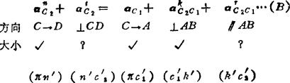
例5.3-14 四杆机构。其矢量方程:

作法:

❶ 选取μ1,画出位置图a)。

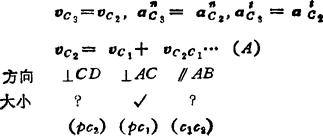
❷ vC1=ACμ1ω1,方向上AC,指向同ω1一致。

❸  取:由(A)式画出速度图b)。

说明:将构件1扩大至包含构件2上的C点是由于:ac1和ac1,已知,vc2和aC2的方向线已知。

随便看

 

离鸟网收录3541549条中英文词条,其功能与新华字典、现代汉语词典、牛津高阶英汉词典等各类中英文词典类似,基本涵盖了全部常用中英文字词句的读音、释义及用法,是语言学习和写作的有利工具。

 

Copyright © 2004-2024 vtrois.com All Rights Reserved
更新时间:2026/4/17 17:18:59