网站首页  词典首页


请输入您要查询的字词:

 

字词 矢量场的散度
类别 中英文字词句释义及详细解析
释义 矢量场的散度

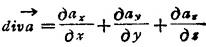
13.2.1 通过闭曲面(s)的流量

称为奥斯特罗格拉得斯金公式,式中an表示a在曲面向外法线上的射影,(v)表示(s)所围成的空间域。

13.2.2 矢量场散度的性质

随便看

 

离鸟网收录3541549条中英文词条,其功能与新华字典、现代汉语词典、牛津高阶英汉词典等各类中英文词典类似,基本涵盖了全部常用中英文字词句的读音、释义及用法,是语言学习和写作的有利工具。

 

Copyright © 2004-2024 vtrois.com All Rights Reserved
更新时间:2026/4/18 0:40:54