网站首页  词典首页


请输入您要查询的字词:

 

字词 瞿麦
类别 中英文字词句释义及详细解析
释义 瞿麦

【概况】:

异名 巨句麦(《本经》),大兰(《别录》),山瞿麦(《千金方》),南天竺草(《圣济总录》),剪绒花(《医林纂要》),竹节草(《山东中药》)。

基源 为石竹科石竹属植物瞿麦或石竹的带花全草和根。

原植物 瞿麦Dianthus superbus L.,又名大菊蘧麦(《尔雅》),地面(《齐民要术》),红花瞿麦、野麦、木碟花、剪刀花、十样景(《中药大辞典》)。

历史 《本经》将瞿麦列为中品。

《本草经集注》谓:“瞿麦今出近道,一茎生细叶,花红紫赤可爱……子颇似麦,故名瞿麦。此类有两种,一种微大,花边有叉桠。……另一种叶广,相似而有毛,花晚而甚赤。”按所述,前者为瞿麦,后一种可能为石竹。

形态 多年生草本。

茎丛生,高30~60cm,无毛,上部2岐状分枝。叶线形至线状披针形,顶端渐尖,基部成短鞘,围抱节上,全缘。

花单生,或成对生枝顶,或成疏聚伞花序;苞片4~6,宽卵形,长约为萼筒的1/4;萼圆筒状,细长,长2.5~3.5cm,顶端5裂;花瓣5,淡紫色,顶端深裂成细线条,喉部有须毛;雄蕊10;花柱2,丝状。蒴果长筒形,和宿萼近等长,顶端4齿裂。

种子扁卵圆形,黑色,有光泽,边缘有宽于种子的翅。花期8~9月,果期10月。

(图见《中国高等植物图鉴》.第1册.644页.图1287)

石竹(lianthus chinensis L.(D.amurensis Jacq.)《中国药典1990年版》列入瞿麦项下,药材市场上也多将石竹作瞿麦入药。又名,鹅毛石竹(《洛阳花木记》),洛阳花(《纲目》),野麦、石柱花(江苏),十样景花(河北),东北石竹。

《纲目》载:“石竹,叶似地肤叶而尖小,又似初生小竹叶而细窄,其茎纤维有节,高尺余,梢间开花,田野生者,花大如钱,红紫色。人家栽者花稍小,而妖媚,有细白、粉红、紫赤、斑斓数色,结实如燕麦,内有小黑子。

”所指即石竹。石竹与瞿麦形态特征的区别在于花瓣瓣片顶端浅裂成不规则牙齿状,萼筒长1.4~1.8cm,花萼下苞片顶端长尖,长约为萼筒的1/2或稍长;花萼裂片披针形,直伸,顶端尖,有缘毛。

花期5~9月,果期8~9月。

(图见《中国高等植物图鉴》.第1册.645页.图1289)

生境与分布 石竹与瞿麦均生于山坡、林下、山野草丛或岩石缝中。分布于中国各省区。

【生药】:

栽培 宜温和湿润的气候,忌干旱。

对土壤选择不严,一般湿润而肥沃的壤土均能生长。用种子繁殖,春播在3月下旬~4月上旬,秋播于8月下旬~9月上旬,直播或育苗均可。直播,按行距27cm、株距17cm开浅穴点播或条播,每亩用种量0.75~1kg。

播后薄覆土,并浇水。

也可在秋、春季进行分株繁殖,将全株挖出,掰分成3~4株为1丛,以行株距各20~27cm开穴栽植。种子出苗后或分植后,须注意中耕除草和浇水。

每年结合中耕和收割,施追肥2~3次;冬季结合田园清洁进行培土壅根。

采集 夏、秋二季花果期割取地上部分,除去杂质,晒干。

药材主产于河北、四川、湖北、湖南、浙江、江苏。

鉴别

性状 石竹全长30~50cm。

茎圆柱形,有分枝,表面淡绿色或黄绿色,基部微带紫色,光滑无毛,节膨大,节间长3~7cm;质坚脆,易折断,断面中空。叶对生,线形或线状披针形,长3~5cm,宽约5mm。

枝顶有2~3个宿萼,黄绿色,表面具纵细纹,有时残存皱缩破碎的花瓣,棕紫或棕黄色,先端浅裂呈锯齿状,完整者,全花长约3cm,萼筒长约为全花的1/2;萼下有数枚小苞片,长约为萼筒的1/2,苞片先端呈尾状渐尖。气微,味淡。瞿麦与石竹的区别点为:花全长3~4cm,萼筒长约为全花的3/4;萼下小苞片长约为萼筒的1/4,苞片宽卵形,先端急尖或渐尖;花瓣先端细裂至中部呈丝状。均以色黄绿、穗及叶多者为佳。

显微 石竹叶的横切面:上下表皮细胞各1列,呈类长方形,外壁厚,角质层波状,气孔略突出;栅栏组织为2~3列细胞,海绵组织为多列细胞,有的含草酸钙簇晶,簇晶直径13~86μm,棱角钝圆;主脉维管束外韧型,韧皮部外侧有纤维束;侧脉维管束与主脉结构类同。叶表面观:下表皮细胞类长方形、类方形或类多角形,长27~112μm,宽29~67μm,垂周壁略弯曲或较平直,呈明显的连珠状增厚,表面有较粗的角质条纹,常弯曲,气孔突出,长圆形,直径14~27μm,副卫细胞2~3个,主为直轴式,也有不定式或不等式。

上表皮细胞垂周壁多平直,表面的角质条纹较细,较平直。 瞿麦叶的显微构造与石竹类同。(图见《中药志》.第4册.第2版.第772、773页.图740、741、742、743)

贮藏 置通风干燥处。

【化学】:

瞿麦(Dianthus superbus L.)鲜草含水份77.3%,粗蛋白质2.62%,无氮浸出物13.13%,粗纤维4.95%,粗灰分11.09%,磷酸0.13%[1];原维生素A类物质[2],皂甙。

花中含挥发油[3]。全草尚分出荭草素(Orientin)、异荭草素(Homoorientin)多种黄酮类化合物[4]

最近从全草中分离得到4个环肽,已鉴定其中二个为新的环六肽——瞿麦环肽A及B(Dianthin A,B)[5]。 石竹(D.chinensis L.)花含芳香油,主要成分为丁香酚(Eugenol)、苯乙醇(Phenyl ethylalcohol)、苯甲酸苄酯(Benzyl benzoate)、水杨酸苄酯(Benzyl salicylate)、水杨酸甲酯(Methyl salicylate)[3][6]

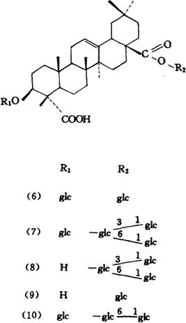
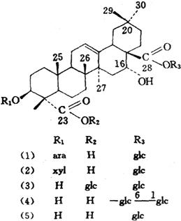
全草含石竹皂甙A(1)、B(2)[7]、C(3)、D(4)(Dianchinenoside A、B、C、D),海南冬青皂甙(Hainanenside)(5)、异红草素-2″-葡萄糖甙(Isoorientin 2″-0-glucoside)、异牡荆素-2″-葡萄糖甙(Iso-vitexin-2″-O-glucoside)、金圣草酚-7-葡萄糖甙(Chrysoeriol-7-O-glucoside)、胡萝卜甙(Sitosterol-3-β-O-D-glucopyrancsidc)[8]

附:长萼瞿麦(D superbus var.longicalycinus Will.)、全草含瞿麦皂甙A(6)、B(7)、C(11)、D(12)、E(13)、F(14)、G(8)、H(9)、I(Dianoside A、B、C、D、E、、F、G、H、I)、赤小豆皂甙Ⅸ(Azukisapcnin Ⅳ)

(10)[9];新鲜叶中含2-甲基-3,4-二羟基——二氢吡喃(2-Methyl-3,4-dihydroxy hydropyran)及其4-Oβ-葡萄糖甙(15)[10](另见本书第一卷1158页04563条)。

兴安石竹(D.versicolor Fisch.)地上部分含金圣草酚-6-C-顺-α-D-葡萄糖甙(Chryseriol-6-c-syn-α-D.glucipyranoside)及金圣草酚-6-C-反α-D-葡萄糖甙(Chryseriol-6-C-anti-α-D-glcopyranoside)[11]

参考文献 [1] 南京药学院等.江苏药材志.江苏人民出版社,1965∶466 [2] 刘寿山等.中药研究文献摘要.第1册.上海科学技术出版社,1963∶785 [3] 南京药学院.中草药学.中册.江苏科学技术出版社,1976∶200 [4] Khim Prir Soedin,1978,(6)∶802(CA,1979;90∶183186r) [5] 中国科学院昆明植物研究所汪有初博士学位论文,1997年9月 [6] 北京药品生物制品检定所.中药鉴别手册.第一册.科学出版社,1972∶541 [7] J Nat Prods,1993;56(7)∶1065 [8] Phytochemistry,1994;35(3)∶751 [9] Planta Medica 1984;50(1)∶40,43;50(4)∶353 [10] Phytochemistry,1982;21(1)∶245 [11] Khim Prir Soedin,1983;14(6)∶783

【药理】:

❶ 利尿作用 瞿麦穗煎剂2g/kg ig,可使盐水潴留的家兔在6小时内尿量增加到156.6%,氯化物增加到268.2%,瞿麦茎穗煎剂的利尿作用与纯穗相似但稍弱[1]

❷ 对肠管及子宫平滑肌的作用 瞿麦乙醇提取物对麻醉兔在体子宫(1%~10%浓度颈外静脉给药1ml)及大鼠离体子宫肌条(10-8~5×10-1g)均有明显兴奋作用,表现在振幅、频率和张力改变。与PGE2合用时有协同作用,其兴奋子宫作用似与性周期状态有关[2]。在离体兔肠、麻醉犬在位肠管、狗慢性肠瘘的实验中观察到:瞿麦煎剂对肠管有显著的兴奋作用,离体兔肠主要表现在紧张度上升,麻醉犬在位肠管及狗慢性肠瘘则表现为肠蠕动增强,而张力并无太大的影响。瞿麦穗较茎穗作用稍强。苯海拉明、罂粟碱能拮抗此作用[3]
❸ 对心血管的影响 瞿麦对离体蛙心、兔心有很强的抑制作用,瞿麦穗煎剂对麻醉犬有降压作用,这可能由于心脏抑制所引起[3]

亦有报告,一般剂量瞿麦对麻醉兔无降压反应。
❹ 其他低浓度瞿麦醇提取物(0.1%~10%)无溶血反应、高浓度(100%)有微溶血反应,但比桔梗流浸膏(或远志流浸膏)弱[2]

参考文献 [1] 中华医学杂志 1959;45∶67 [2] 天津医药 1983;(5)∶268 [3] 南京第一医学院学报 1959;(1)∶27

。【药性】:

性味 苦,寒。

❶ 《本经》:“味苦,寒。”
❷ 《别录》:“辛。”
❸ 《本草正》:“味苦,微寒。”

归经 入心、肾、小肠、膀胱经。

❶ 《本草图经》:“通心经。”
❷ 《本草汇言》:“入手少阴、太阳二经。”
❸ 《长沙药解》:“入足厥阴肝、足太阳膀胱经。”
❹ 《本草再新》:“入心、脾、肾三经。”

功效 清热利水,破血通经。

主治 小便不通,淋病,水肿,经闭,痈肿,目赤障翳,浸淫疮毒。 ❶ 《本经》:“主关格诸癃结,小便不通,出刺,决痈肿,明目去翳,破胎堕子,下闭血。”
❸ 《别录》:“养肾气,逐膀胱邪逆,止霍乱,长毛发。”
❸ 《药性论》:“主五淋。”
❹ 《日华子本草》:“叶:治痔漏并泻血,小儿蛔虫,眼目肿痛,捣敷治浸淫疮并妇人阴疮。子:催生,治月经不通,破血块,排脓。


❺ 《本草图经》:“利小肠为最要。”
❻ 《现代实用本草》:“治水肿,尿热涩痛,血淋。”
❼ 《全国中草药汇编》:“泌尿系感染,结石,小便不利,尿血,闭经,皮肤湿疹;根:治肿瘤。”

用法用量 内服:煎汤,全草:3~9g;根:24~30g。外用:研末调敷。

使用注意 脾、肾气虚及孕妇忌服。

❶ 《本草经集注》:“蓑草、牡丹为之使。恶桑螵蛸。”
❷ 《本草品汇精要》:“妊娠不可服。”
❸ 《本草经疏》:“凡肾气虚,小肠无大热者忌之;胎前产后一切虚人,患小水不利,法并禁用;水肿蛊胀,脾虚者不得施。”

。【临床应用】:

配伍应用 ❶ 配桃仁、当归,治湿热闭经,小腹胀痛。

❷ 配白茅根、小蓟,治下焦湿热,血淋、血尿、小便热痛。
❸ 配滑石、山栀子、萹蓄、车前草,治口咽干燥,口舌生疮,小便赤涩或小便不通。
❹ 配海金沙、金钱草、石韦、车前子,治尿路结石,腰痛剧烈,尿中带血。
❺ 配萆薢、萹蓄、赤茯苓、猪苓,治女子赤白带下,横痃下疳,便溺不清。
❻ 配金樱子、黄芩、黄芪、土茯苓,治慢性肾炎。
❼ 配双花、地龙、鱼腥草、黄柏,治急性淋病。

❽ 配败酱草、木通、丹皮、山栀子,治非淋菌性尿道炎。

方选和验方 ❶ 栝蒌瞿麦丸(《金匮要略》)治小便不利,有水气,苦渴:栝蒌根28g,茯苓、薯蓣各42g,附子一枚(炮),瞿麦14g。

共为末,炼蜜丸梧子大,饮送服3丸,日3服。不知,增至7~8丸,以小便利,腹中温为知。
❷ 立效散(《千金方》)治小便淋泌,或有血出,或大便出血:瞿麦穗37g,甘草(炙)28g,山栀子仁(炒)19g。共为末,和匀。

每服26g,加连须葱头7个,灯芯50茎,生姜5片,水300ml,煎至200ml,时时温服。
❸ 八正散(《局方》),治心经邪热,一切蕴毒,咽干口燥,大渴引饮,心忪面赤,烦躁不宁,目赤睛疼,唇焦鼻衄,口舌生疮,咽喉肿痛。

小便赤涩,或癃闭不通,热淋,血淋:瞿麦、萹蓄、车前子、滑石、炙甘草、山栀子仁、木通、大黄各等量,为散和匀,每服7.5g,水200ml,入灯芯20茎,煎150ml,去滓,食后临卧温服。小儿减量与之。
❹ 石韦散(《局方》)治肾气不足,膀胱有热,水道不通,淋沥不宣,出少起数,脐腹急痛,蓄作有时,劳倦即发。或尿如豆汁,或便出砂石:芍药、白术、滑石、葵子、瞿麦、石韦(去毛)、木通各75g,当归、甘草、王不留行各37g。共为细末和匀。每服7.5g,空心服,煎小麦汤调下,日2~3服。

❺ 石燕丸(《三因方》)治石淋,因忧郁气注下焦,结如食盐,小便痛不可忍,或出砂石而后小便通:石燕(烧,水淬,飞)、石韦(去毛)、瞿麦穗、滑石各37g。

为细末,面糊丸桐子大。每服10丸,甚即以石韦、瞿麦穗、木通各150g,陈皮、茯苓各11g。为末匀。

每服11g,以水200ml,煎150ml,去滓服。
❻ 南天竺饮(《圣济总录》)治九窍出血,服药不止:瞿麦拇指粗一把,山栀子仁30个,生姜1块,炙甘草19g,灯草1小把,大枣5枚,水煎服。
❼ 瞿麦汤(《医灯续焰》)治心经蕴热,小便赤涩痛;瞿麦穗26g;冬瓜子、茅根各19g,黄芩22g,木通9g,竹叶1把,滑石75g(另研分为3份),葵子30g。滑石另研,余合捣筛,分3份。每剂取1份药末,用水600ml,煎400ml,去滓,入滑石末1份,搅匀,食前温服。
❽ 《圣惠方》:“治眯目生翳膜:瞿麦,干姜(炮)为末,井华水调服7.5g,日2服。”
❾ 《全国中草药汇编》:“治泌尿系感染:瞿麦、萹蓄各12g,蒲公英30g,黄柏9g,灯心草3g。水煎服,每日1剂。”
❿ 瓜蒌瞿麦丸(《全国中药成药处方集》)治小便不利,泄泻久痢,腰膝酸痛,四肢无力:瓜蒌根60g,瞿麦30g,薯蓣、茯苓各90g,附子6g。同研为细末,炼蜜为丸,每丸重6g。每次服1丸,日服3次,温开水送服。 ⑾分清止淋丸(《全国中药成药处方集》)治膀胱湿热,小便短赤,尿道疼痛,小腹停水作胀:瞿麦、萹蓄、生栀子、车前子(盐炒)、知母、茯苓(去皮)、黄柏、泽泻、猪苓各400g,甘草100g,木通、黄芩、滑石各800g,大黄1000g。

同研为细末,水泛为丸如梧桐子大,每服9~10g,白开水送服,日服3次。 ⑿王淋白浊丸(《全国中药成药处方集》)治五淋白浊,女子赤白带下,横痃、下疳,膀胱发热,梦遗滑精,便溺不清:瞿麦、猪苓、泽泻、赤茯苓、草薢、萹蓄、车前子各12g,山栀子、甘草、白术各6g,荜澄茄5g,椿皮3g。同研为末,水泛为丸,滑石为衣。

每服9g,白开水送服,口服3次。

⒀辽宁中医1978;(3):“治尿路结石:瞿麦、泽泻、车前子、沉香、丹参、海金沙、牛膝各15g,石韦、王不留行、滑石各20g,赤茯苓6g。每日服1帖,水煎去渣分2次服。

” ⒁山东中医杂志 1982;(5):“治泌尿系统结石:瞿麦、泽泻各9g,冬葵子 12g,苦楝子6g,炙甘草、血余炭各3g,茯苓、石韦各25g。水煎服,每日服1帖,连服10~15天。

” ⒂双金汤(吉林中医药 1991;(3))治慢性肾炎:瞿麦、金樱子、金钱草、车前子、萆薢各15g,泽泻、黄芩各10g,黄芪50g,土茯苓20g,水煎服,分2~3次服,每日1帖。 ⒃黑龙江中医药 1991;(5):“治尿路结石:瞿麦、滑石、金钱草各30g,萹蓄、木通、车前子、山栀子、海金沙、鸡内金各15g。绞痛加白芍、续断、桑寄生;血尿加白茅根、小蓟;气虚加黄芪、党参;阴虚加旱莲草、女贞子;肝郁加柴胡、郁金;血瘀加坤草、牛膝;发热加双花、蒲公英、柴胡。每日服1剂,水煎服。

” ⒄福州中医 1991;(1):“治非淋菌性尿道炎:瞿麦、黄柏、败酱草、车前子、木通、萹蓄、丹皮、甘草、土茯苓、山栀子各10~15g。水煎服,每日1剂。” ⒅福州中医 1991;(1):“治急性淋病,小便疼痛:瞿麦、萹蓄、地龙、双花、威灵仙、鱼腥草、六一散、萆薢、竹叶、栀子、黄柏、海金沙、金钢刺各9g。水煎服,每日1剂。” ⒆健肾清热汤(吉林中医药1997;(2)):治慢性肾盂肾炎:瞿麦、萹蓄、车前子、石韦各12g,黄芪、金银花、白茅根、败酱草、土茯苓、白花蛇舌草、山药各30g,菟丝子、枸杞子、生地各15g。水煎服,每日1帖,服2~3个月。

单方应用 ❶ 《干金方》:“治子死腹中,或产经数日不下:瞿麦煎浓汁服之。”
❷ 《千金方》:“治刀、箭入肉及咽喉胸膈诸隐处不出:瞿麦末酒服2g,日3服。”
❸ 《外台秘要》:“治咽喉骨鲠:瞿麦为末,水服2g,日二。”
❹ 《梅师方》:“治竹木入肉:瞿麦为末,水服2g或煮汁,日饮3次。”
❺ 《普济方》:“治目赤肿痛,浸淫等疮:瞿麦炒黄为末,以鹅涎调涂目眦。或捣汁涂之。


❻ 《全国中草药汇编》:“治食管癌、直肠癌:瞿麦根24~30g。水煎服,每日1剂。”。【医药家论述】:

❶ 雷:“凡使(穗)只用蕊壳,不用茎叶,若一时同使,即空心,令人气噎,小便不禁也。


❷ 寇宗奭:“八正散用瞿麦,今人为至要药。若心经虽有热而小肠虚者,服之则心热未退而小肠别作病矣。盖小肠与心为传送故用此入小肠。本草并不治心热。

若心无大热止治其心,或制之不尽,当求其属以衰之可也。”
❸ 李时珍:“近古方家治产难虽有石竹花汤。治九孔出血有南天竺饮。皆取其破血利窍也。”
❹ 缪希雍《本草经疏》:“瞿麦,苦辛能破血,阴寒而降,能通利下窃而行小便,故主关格诸癃结小便不通因于小肠热甚者。寒能散热,辛能散结,故决痈肿。除湿热,故明目去翳。辛寒破血,故破胎堕子而下闭血也。

去肾家热,故云养肾气。逐膀胱邪逆者,亦泄湿热故也。湿热客中焦,则清浊不分而为霍乱,通利湿热,则霍乱自解矣。”
❺ 张景岳《本草正》:“瞿麦,性滑利,能通小便,降阴火,除五淋,利血脉。兼凉药亦消眼目肿痛;兼血药则能通经破血下胎。凡下焦湿热疼痛诸病,皆可用之。”
❻ 张德裕《本草正义》:“瞿麦,其性阴寒,泄降利水,除导湿退热外,无他用。《本经》谓其明目去翳,《别录》谓其养肾,则邪热清而真阴复,非通利之品果能养阴也。出刺,决壅,堕胎,其力猛矣。

《别录》又称其主霍乱,则湿热内阻,清浊不分者,以为分泄逐湿之用,非主阴寒之霍乱也。《日华》谓其主五淋,月经不通,景岳谓合凉药亦消眼目肿痛,合血药则通经破血下胎,宣导下焦湿热;石顽谓利小便之君药;《日华》又谓其叶主痔漏泻血,捣敷疮毒浸淫疮,无一非清热利导之用,然必实有实热壅滞者为宜。寇宗奭谓专通小肠,若心经有热而小肠虚者勿用,辨别最为清澈。

石顽亦谓妊娠产后小便不利及脾虚水肿者禁用。”

随便看

 

离鸟网收录3541549条中英文词条,其功能与新华字典、现代汉语词典、牛津高阶英汉词典等各类中英文词典类似,基本涵盖了全部常用中英文字词句的读音、释义及用法,是语言学习和写作的有利工具。

 

Copyright © 2004-2024 vtrois.com All Rights Reserved
更新时间:2026/4/21 9:27:21