网站首页  词典首页


请输入您要查询的字词:

 

字词 相见欢
类别 中英文字词句释义及详细解析
释义 相见欢

词牌名。

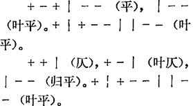
本六朝乐府旧题,唐玄宗时用作教坊曲句,后又沿用为词牌名。又名《忆真妃》、《夜秋月》、《上西楼》、《西楼子》、《月上瓜洲》、《乌夜啼》、《古乌夜啼》。唐五代用调最早者为薛昭蕴、李煜等。宋人则推苏轼、毛滂等。共5体,正体双调小令36字,上阕3句3平韵,下阕4句两平韵两仄韵。杨无咎所作,稍异于正体,上阕4句3平韵,下阕5句1叶韵1叠韵两平韵。以李煜《相见欢·无言独上西楼》、蔡伸《相见欢·楼前流水》为例,正体词谱如下:

随便看

 

离鸟网收录3541549条中英文词条,其功能与新华字典、现代汉语词典、牛津高阶英汉词典等各类中英文词典类似,基本涵盖了全部常用中英文字词句的读音、释义及用法,是语言学习和写作的有利工具。

 

Copyright © 2004-2024 vtrois.com All Rights Reserved
更新时间:2026/4/18 20:18:57