相关系数
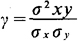
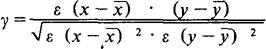
某一经济因变量与一个或多个自变量之间关联程度大小的数值,是反映现象变量之间相关关系密切程度的统计分析指标。 它一般描述两个变量间的线性关系,计算公式为:  式中,γ为相关系数,σx为自变量数列的标准差,σy为因变量数列的标准差, 为两个数列的协方差。上述公式可简化为:  式中,x为自变量及其变量值x1,x2,……xn,y为因变量及其变量值y1,y2,……yn,γ的绝对值范围是在-1与1之间。γ为正值是正相关,即x与y的变化为同一方向;γ为负值是负相关,即x与y的变化为相反方向。如果相关系数(γ)等于或接近±1,说明x和y完全相关,或关系密切;等于或接近0,说明x和y完全无关,或关系微弱。 相关系数可用于研究社会现象之间的依存关系。 |