网站首页  词典首页


请输入您要查询的字词:

 

字词 直线配合法
类别 中英文字词句释义及详细解析
释义 直线配合法

统计中测定长期趋势的一种常用方法。

它是用最小平方法,通过一定的数学模型,对动态数列配合一条适当的趋势线。这条趋势线必须满足实际观察值与计算的趋势值的离差平方和为最小。

以公式表示:

∑(y-yc)2是最小值

式中:y为观察值,指动态数列各期发展水平;yc为趋势值,指适当趋势线上估计值。

直线方程yc=a+bt,以此代入上式,得:

∑(y-a-bt)2是最小值

在一个动态数列中只有一条线能满足上面的要求,这条线就是它的最适线。

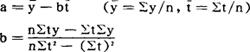
通过数学分析中求函数极值的方法,可以确定a、b两值:

式中:n为时期数,t为时间单位,a和b为两个参数。把资料代入上式,可求得a、b两条参数值,代入yc=a+bt。

最小平方法也可用于配合曲线方程。它的优点在于既适合于直线趋势,也适合于曲线趋势,选择得当,可取得较精确的长期趋势线,并可用外插法,延长趋势线,预测未来。

其缺点是计算过程较繁琐。

随便看

 

离鸟网收录3541549条中英文词条,其功能与新华字典、现代汉语词典、牛津高阶英汉词典等各类中英文词典类似,基本涵盖了全部常用中英文字词句的读音、释义及用法,是语言学习和写作的有利工具。

 

Copyright © 2004-2024 vtrois.com All Rights Reserved
更新时间:2026/4/18 0:02:49