网站首页  词典首页


请输入您要查询的字词:

 

字词 直线修匀法
类别 中英文字词句释义及详细解析
释义 直线修匀法

动态数列修匀法之一种。按直线来修匀动态数列,用以确定最接近实际数列的理论数列的方法。把原始数列修匀成一条直线的方法很多,一般认为用最小二乘法得出的直线是“最佳”的直线。用最小二乘法所求得的趋势直线能使原始数列实际数值(y)与趋势直线上相对应的理论数值()的离差平方和为最小,即为最小。趋势直线方程式:

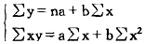
为了求得上式的参数a和b,可利用两个标准方程式:

根据资料可求得n,∑x,∑y,∑x2,∑xy的值,代入上述方程组,即可解得a和b的值,从而求得趋势直线方程据此能求出对应于x的趋势值。在理论分析和调查研究的基础上,利用趋势直线方程式还可以进行预测。

随便看

 

离鸟网收录3541549条中英文词条,其功能与新华字典、现代汉语词典、牛津高阶英汉词典等各类中英文词典类似,基本涵盖了全部常用中英文字词句的读音、释义及用法,是语言学习和写作的有利工具。

 

Copyright © 2004-2024 vtrois.com All Rights Reserved
更新时间:2026/4/18 4:39:04