网站首页  词典首页


请输入您要查询的字词:

 

字词 直二面角
类别 中英文字词句释义及详细解析
释义 直二面角

平面角是直角的二面角叫做直二面角.

例1 在矩形ABCD中,,BC=2,E为BC中点,把△ABE,△CDE分别沿AE,DE向上折起,使B,C重合于点P,求二面角P—AD—E的大小.

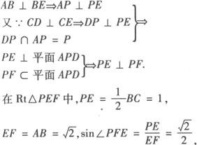
策略 如图,要充分注意到平面图形翻折成空间图形前后的变化及联系,有些关系翻折后仍没有发生变化,这为解题提供了方便

解 取AD中点F,连结EF,PF.

AE=DE,∴EF⊥AD,

又∵AP=DP,∴PF⊥AD,

∴∠PFE为二面角P—AD—E的平面角.

..∠PFE=45°.∴二面角P—AD—E是45°

点评 折叠问题要抓住图形中的不变量.

例2 如图:一山坡的坡面与水平面成30°的二面角,坡面上有一直道AB,它和坡角的水平线成30°的角,沿这山路行走20米后升高了多少米?

解 如图,作BH⊥水平面,垂足为H,过H作HC⊥坡脚线,垂足为C,连BC,则∠BAC=30°,且BC⊥AC,

∴∠BCH为坡面与水平面所成的二面角的平面角.

∴∠BCH=30°.

在Rt△ABC中和Rt△BCH中,∵AB=20

∴BC=10,∴BH=5m,即升高了5米.

答 升高了5米.

随便看

 

离鸟网收录3541549条中英文词条,其功能与新华字典、现代汉语词典、牛津高阶英汉词典等各类中英文词典类似,基本涵盖了全部常用中英文字词句的读音、释义及用法,是语言学习和写作的有利工具。

 

Copyright © 2004-2024 vtrois.com All Rights Reserved
更新时间:2026/4/18 15:16:07