网站首页  词典首页


请输入您要查询的字词:

 

字词 目标规划
类别 中英文字词句释义及详细解析
释义 目标规划

求解重要程度不同,度量单位不一的多目标规划问题的方法。

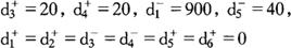
目标规划是在线性规划基础上发展起来的,其模型结构和算法与线性规划基本相似,也是线性规划的扩展。目标规划是求一组变量的和,在满足一组资源的总和目标约束的条件下,实现与目标的偏差和最小。其模型结构为:

变量 除决策变量Xi之外,还有目标的偏差变量di+,di。dj+表示超过目标,di表示未达到目标。

目标函数 目标规划解决多目标问题,它对目标函数的要求是在给定的约束集合内,使计划目标与可能达到的目标之间的偏差和最小,因此目标函数是以给定目标的偏差变量之和的极小值来描述的。至于目标的重要程度则是以优先因子Pk来描述,P1》P2》…》Pn,“》”表示“远大于”,也就是说在求解过程中,必须先满足优先级高的目标,然后再是优先级低的目标。

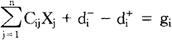
目标函数由分目标及其优先因子构成,分目标有以下几种:要求准确实现目标,应将该目标的正、负偏差变量均列入目标函数,并令其和最小,Zmin=di++di;要求超额完成目标,不许不完成,则应将该目标的负偏差列入目标函数,并令其最小,Zmin=di;要求不超过目标值,如规定的材料消耗等,应将目标的正偏差列入目标函数,并令其最小,Zmin=di+。综上所述,目标规划的目标函数为:

约束条件 一般的约束条件类似线性规划,特殊的约束为目标约束其形式如下:

式中:gi——第i个目标(i=1…m);Cij——对目标约束的系数;di+,di——相对于目标值的偏差。

除了一般约束和目标约束之外,还有对变量非负约束Xj≥0;di+、di-≥0,所以目标规划的一般形式为:

例:某企业生产A、B两种产品,由加工和装配两个车间完成。两种产品相关数据见表11-1。

表11-1

目标为:

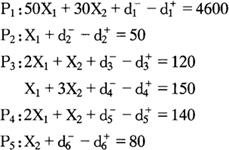
P1:库存品每月费用不超过4600元;

P2:A产品至少销售50件;

P3:两车间未利用时间最少;

P4:加工车间加班时间每月不超过20小时;

P5:B产品至少销售80件。

解:设X1是A产品的计划月产量,X2是B产品的计划月产量;di+和di(i=1…6)分别是Pi(i=1…5)的偏差变量。

先列出关于各目标Pi的约束方程:

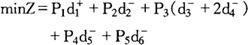
本题除了目标约束之外,没有一般约束。考虑目标函数,对于各分目标,有:

连上目标约束及X1,X2,di+,di≥0(i=1…6),即是最后的模型。对这个模型求解的最后结果为:

X1=50,X2=40

由此可以看到目标规划用于解决多目标问题,应用起来比线性规划方便。

随便看

 

离鸟网收录3541549条中英文词条,其功能与新华字典、现代汉语词典、牛津高阶英汉词典等各类中英文词典类似,基本涵盖了全部常用中英文字词句的读音、释义及用法,是语言学习和写作的有利工具。

 

Copyright © 2004-2024 vtrois.com All Rights Reserved
更新时间:2026/4/19 23:04:24