盘磨机的磨浆面积计算
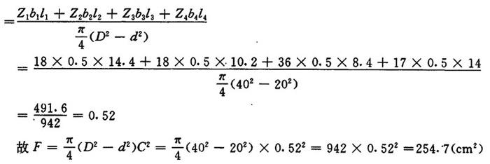
【公式】  式中 F——磨浆面积(cm2) D——磨片外圆周直径(cm) d——磨片内圆周直径(cm) C1——转盘接触率(转盘齿纹面积之和与转盘环形面积之比),一般为0.3~0.5 C2——定盘接触率(定盘齿纹面积之和与定盘环形面积之比),一般为0.3~0.5 通常,C1=C2=C 【例】 设盘磨机片上分布有与磨片中心线倾角为18°的长、中、短放射性齿纹,并分布有弧形封闭圈。其中长齿纹齿数Z1=18,齿纹宽度b1=0.5cm,齿纹长度L1=14.4cm;中齿纹齿数Z2=18,齿纹宽度b2=0.5cm,齿纹长度l1=10.2cm;短齿纹齿数Z3=36,齿纹宽度b3=0.5cm,齿纹长度l3=8.4cm;弧形封闭圈条数Z1=17,宽度b1=0.5cm,长度l1=14cm。磨片的外圆直径D=40cm,内圆直径d=20cm。转盘和定盘齿纹分布及尺寸一样。求磨浆面积。   |