网站首页  词典首页


请输入您要查询的字词:

 

字词 盘磨机机械加压的挤压力计算
类别 中英文字词句释义及详细解析
释义 盘磨机机械加压的挤压力计算

【说明】 见图1-12-10所示,盘磨机的机械加压装置是通过带螺母的手轮压缩杠杆—端的弹簧.,再通过杠杆来加压磨盘,使磨盘间产生足够的打浆压力,来达到磨浆的工艺要求。加压装置所产生的挤压力计算如下。

1-加压手轮 2-板卷弹簧 3-锁紧手轮 4-螺杆 5-加压杆(转轴) 6-加压杠杆

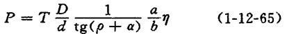
【公式】

式中 P——挤压力(N)

D——手轮的直径(m)

d——螺旋的直径(m)

T——旋转手轮的力(N)

ρ——螺杆与螺母间的摩擦角(度)

α——螺旋的升角(度)

a、b——杠杆力臂的长度(m)

η——杠杆效率,视润滑情况而定

随便看

 

离鸟网收录3541549条中英文词条,其功能与新华字典、现代汉语词典、牛津高阶英汉词典等各类中英文词典类似,基本涵盖了全部常用中英文字词句的读音、释义及用法,是语言学习和写作的有利工具。

 

Copyright © 2004-2024 vtrois.com All Rights Reserved
更新时间:2026/4/18 6:03:54