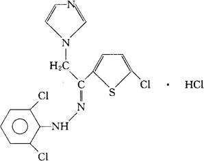
盐酸齐诺康唑
C15H11Cl3N4S·HCl=422.17 CAS-80168-44-1 CAS-84697-21-2(zinoconazole) (E)-1-(5-氯-2-噻吩基)-2-(1H-咪唑-1-基)-乙烷酮,(2,6-二氯苯基)腙,单盐酸盐。 Ethanone,1-(5-chloro-2-thienyl)-2-(1H-imidazol-1-yl)-,(2,6-dichlorophenyl)hydrazone,monohydrochloride,(E)-. 5-氯-2-噻吩基咪唑-1基甲基酮,(E)-(2,6-二氯苯基)腙单盐酸盐。 5-Chloro-2-thienyl imidazol-1-ylmethyl ketone,(E)-(2,6-dichlorophenyl)hydrazone,monohydrochloride.抗真菌药。 Antifungal,SC-38390. INN,USAN.  |