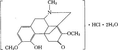
盐酸青藤碱[中]
C19H23NO4·HCl·2H2O=383.86 7,8-二去氢-4-羟-3,7-二甲氧-17-甲基-9α,13α,14α-吗啡喃-6-酮盐酸盐,二水化合物。 7,8-Didehydro-4-hydroxy-3,7-dimethoxy-17-methyl9α,13α,14α-morphinan-6-one hydrochloride,dihydrate. 镇痛消炎药。用于急性关节炎及类风湿性关节炎。 Sinomenine Hydrochloride. 盐酸青藤碱片(抗风灵片),盐酸青藤碱注射液。 MI.  |