网站首页  词典首页


请输入您要查询的字词:

 

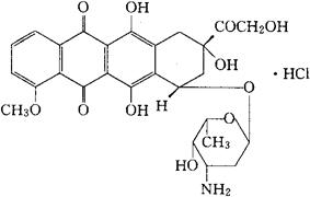
字词 盐酸阿霉素[典]
类别 中英文字词句释义及详细解析
释义 盐酸阿霉素[典]

C27H29NO11·HCl=579.99

CAS-25316-40-9

CAS-23214-92-8(doxorubicin)

(8S,10S)-10-[(3-氨基-2,3,6-三去氧-α-L-来苏-吡喃己糖基)氧]-8-乙醇酰-7,8,9,10-四氢-6,8,11-三羟-1-甲氧-5,12-并四苯二酮盐酸盐。

(8S,10S)-10-[(3-Amino-2,3,6-trideoxy-α-L-lyxohexopyranosyl)oxy]-8-glycoloyl-7,8,9,10-tetrahydro-6,8,11-trihydroxy-1-methoxy-5,12-naphthacenedione hydrochloride.

抗肿瘤药。

14-羟正定霉素盐酸盐,亚得里亚霉素,14-羟柔红霉素盐酸盐,盐酸羟柔比星。

Doxorubicin Hydrochloride,Adriamycin.

盐酸阿霉素注射液。

USAN,USP,MI.

随便看

 

离鸟网收录3541549条中英文词条,其功能与新华字典、现代汉语词典、牛津高阶英汉词典等各类中英文词典类似,基本涵盖了全部常用中英文字词句的读音、释义及用法,是语言学习和写作的有利工具。

 

Copyright © 2004-2024 vtrois.com All Rights Reserved
更新时间:2026/4/19 10:46:22