网站首页  词典首页


请输入您要查询的字词:

 

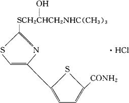
字词 盐酸阿罗洛尔
类别 中英文字词句释义及详细解析
释义 盐酸阿罗洛尔

C15H21N3S3·HCl=371.46

CAS-68377-91-3

5-[2-[[(3-叔-丁基氨基)-2-羟基丙基]硫]-4-噻唑基]-2-噻吩甲酰胺盐酸盐。

5-[2-[[(3-tert-Butylamino)-2-hydroxypropyl]thio]-4-thiazolyl]-2-thiophenecarboxamide hydrochloride.

5-[2-[[3-(1,1-二甲基乙基)氨基]-2-羟基丙基]硫]-4-噻唑基]-2-噻吩甲酰胺盐酸盐。

5-[2-[[3-(1,1-Dimethylethyl)amino]-2-hydroxypropyl]thio]-4-thiazolyl]-2-thiophenecarboxamide hydrochloride.

β-受体阻滞药。用于原发性高血压、心绞痛、心动过速性、心律失常等疾病。

Arotinolol Hydrochloride,S-596,Almarl.

BAN.

随便看

 

离鸟网收录3541549条中英文词条,其功能与新华字典、现代汉语词典、牛津高阶英汉词典等各类中英文词典类似,基本涵盖了全部常用中英文字词句的读音、释义及用法,是语言学习和写作的有利工具。

 

Copyright © 2004-2024 vtrois.com All Rights Reserved
更新时间:2026/4/19 0:52:26