网站首页  词典首页


请输入您要查询的字词:

 

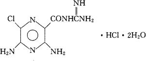
字词 盐酸阿米洛利
类别 中英文字词句释义及详细解析
释义 盐酸阿米洛利

C6H8ClN7O·HCl·2H2O=302.12

CAS-17440-83-4

CAS-2016-88-8(anhydrous)

CAS-2609-46-3(amiloride).

3,5-二氨基-N-(氨基亚氨基甲基)-6-氯吡嗪甲酰胺,单盐酸盐二水化合物。

3,5-Diamino-N-(aminoiminomethyl)-6-chloropyrazinecarboxamide,monohydrochloride dihydrate.

N-脒基-3,5二氨基-6-氯吡嗪甲酰胺单盐酸盐二水合物。

N-Amidino-3,5-diamino-6-chloropyrazinecarboxamide monohydrochloride dihydrate.

利尿药。

盐酸脒氯嗪,盐酸脒吡嗪,盐酸氨氯吡嗪。

Amiloride Hydrochloride,Midamor.

INN(Amiloride),BP,USAN,USP,MI.

随便看

 

离鸟网收录3541549条中英文词条,其功能与新华字典、现代汉语词典、牛津高阶英汉词典等各类中英文词典类似,基本涵盖了全部常用中英文字词句的读音、释义及用法,是语言学习和写作的有利工具。

 

Copyright © 2004-2024 vtrois.com All Rights Reserved
更新时间:2026/4/18 19:53:44