网站首页  词典首页


请输入您要查询的字词:

 

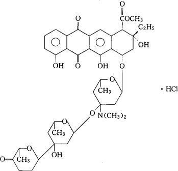
字词 盐酸阿柔比星
类别 中英文字词句释义及详细解析
释义 盐酸阿柔比星

C42H53NO15·HCl=848.34

CAS-57576-44-(aclarubicin)

(1R,2R,4S)-2-乙基-1,2,3,4,6,11-六氢-2,5,7-三羟基-6,11-二氧代-4-O[[2,3,6-三脱氧-4-O-[2,6-二脱氧-4-O-[(2R,6S)-四氢-6-甲基-5-氧代-2H-吡喃-2-基]-α-L-来苏-己吡喃糖基]-3-(二甲氨基)-α-L来苏-己吡喃糖基]-氧]-1-并四苯羧酸甲酯盐酸盐。

Methyl(1R,2R,4S)-2-ethyl-1,2,3,4,6,11-hexahydro-2,5,7-trihydroxy-6,11-dioxo-4-[[2,3,6-trideoxy-4-O-[2,6-dideoxy-4-O-[(2R,6S)-tetrahydro-6-methyl-5-oxo-2H-pyran-2-yl]-α-L-lyxo-hexopyranosyl]-3-(dimethylamino)-α-L-lyxo-hexopyranosyl]-oxy]-1-naphthacenecarboxylate Hydrochloride.

抗肿瘤药。用于胃癌、肺癌、乳腺癌、卵巢癌、恶性啉巴癌及急性白血病药等。

阿柔比星盐酸盐,盐酸阿比柔星A,盐酸阿克拉霉素。

Aclarubicin Hydrochloride,Aclacinomycin A Hydrochloride,ACM-A,ACR,Aclacinon.

随便看

 

离鸟网收录3541549条中英文词条,其功能与新华字典、现代汉语词典、牛津高阶英汉词典等各类中英文词典类似,基本涵盖了全部常用中英文字词句的读音、释义及用法,是语言学习和写作的有利工具。

 

Copyright © 2004-2024 vtrois.com All Rights Reserved
更新时间:2026/4/18 9:51:04