网站首页  词典首页


请输入您要查询的字词:

 

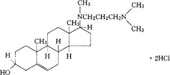
字词 盐酸阿扎胆醇
类别 中英文字词句释义及详细解析
释义 盐酸阿扎胆醇

C25H44N2O·2HCl=461.56

CAS-1249-84-9

CAS-313-o5-3(azacosterol)

17β-[[3(二甲氨基)丙基]甲氨基]雄甾-5-烯-3β-醇二盐酸盐。

17β-[[3(Dimethylamino)propyl]methylamino]androst-5-en-3β-ol dihydrochloride.

20,25-二氮杂胆甾醇二盐酸盐。

20,25-Diazacholesterol dihydrochloride.

避孕药。

AzacosterolHydrochloride,SC-12937.

INN,USAN.

随便看

 

离鸟网收录3541549条中英文词条,其功能与新华字典、现代汉语词典、牛津高阶英汉词典等各类中英文词典类似,基本涵盖了全部常用中英文字词句的读音、释义及用法,是语言学习和写作的有利工具。

 

Copyright © 2004-2024 vtrois.com All Rights Reserved
更新时间:2026/4/18 3:34:49