盐酸阿尼利定
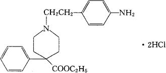
C22H28N2O2·2HCl=425.40 CAS-126-12-5 CAS-144-14-9(anileridine) 1-[2-(4-氨基苯基)乙基]-4-苯基-4-哌啶羧酸乙酯二盐酸盐。 1-[2-(4-Aminophenyl)ethyl-4-phenyl-4-piperidinecarboxylic acid,ethyl ester,dihydrochloride. 1-(对-氨基苯乙基)-4-苯基异哌啶甲酸乙酯盐酸盐。 Ethyl 1-(p-aminophenethyl)-4-phenylisonipecotate dihydrochloride. 镇痛药。 盐酸阿尼替啶。 Anileridine Hydrochloride,Apodol Zeritine. USAN,USP.  |