网站首页  词典首页


请输入您要查询的字词:

 

字词 盐酸阿夫唑秦
类别 中英文字词句释义及详细解析
释义 盐酸阿夫唑秦

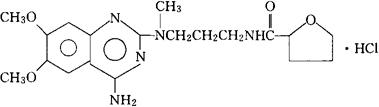
C19H27N5O4·HCl=425.92

CAS-81407=-68-1

CHS-81403-6(asfuzosin)

(±)-N-[3-[(4-氨-6,7-二甲氧基-2-喹唑啉基)甲基氨]丙基]四氢-2-呋喃甲酰胺盐酸盐。

(±)-N-[3-[(4-Amino-6,7-dimethoxy-2-quina-zolinyl)methylamino]propyl]tetrahydro-2-furancarboxamide,monohydrochlorde.

(±)-N-[3-[(氨基-6,7-二甲氧基-2-喹唑啉基)甲基氨基]丙基]四氢-2-糠酰胺盐酸盐。

(±)-N-[3-[(Amino-6,7-dimethoxy-2-quinazolinyl)methylamino]propyl]tetrahydro-2-furamide monohydrochloride.

抗高血压药。

Alfuzosin Hydrochloride,SL 77 499-10.

INN & BAN(Alfuzosin),USAN.

随便看

 

离鸟网收录3541549条中英文词条,其功能与新华字典、现代汉语词典、牛津高阶英汉词典等各类中英文词典类似,基本涵盖了全部常用中英文字词句的读音、释义及用法,是语言学习和写作的有利工具。

 

Copyright © 2004-2024 vtrois.com All Rights Reserved
更新时间:2026/4/18 4:57:40