网站首页  词典首页


请输入您要查询的字词:

 

字词 盐酸西诺定
类别 中英文字词句释义及详细解析
释义 盐酸西诺定

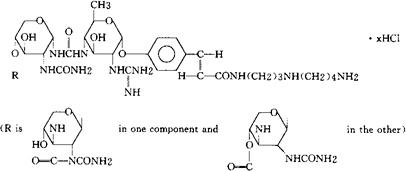
C37H59N13O13·xHCl=893.95(each component)

CAS-68782-58-1

CAS-52932-64-6(antibiotic BM 123γ)

N-[3-[(4-氨丁酸)氨基]丙基]-3-[4-[[4-[[[[2-[(氨基羰基)氨基]-4-O-[2-[(氨基羰基)氨基]21,32-酐-3-(羧氨基)-2,3-二脱氧-β-D-吡喃木糖基]-2-脱氧-α-D-吡喃木糖基]氨基]羰基]氨基]-2-[(氨基亚氨基甲基)氨基]-2,4,6-三脱氧-α-D-吡喃葡萄糖基]氧]苯基]-2-丙烯酰胺盐酸盐,(E)-与(E)-N-[3-[(4-氨基丁酸)氨基]丙基]-3-[4-[[4-[[[[2-[(氨基羰基)氨基]-4-O-[2-[(氨基羰基)氨基]-32,4-酐-3-(羧基氨基)-2,3-二去氧-β-D-吡喃木糖基]-2-脱氧-α-D-吡喃木糖基]氨基]羰基]氨基]-2-[(氨基亚氨甲基)氨基]-2,4.6-三脱氧-α-D-吡喃葡萄糖基]氧]苯基]-2-丙烯酰胺盐酸盐的混合物。

N-[3-[(4-Aminobutyl)amino]propyl]-3-[4-[[4-[[[[2-[(aminocarbonyl)amino]-4-O-[2-[(aminocarbonyl)amino]-21,32-anhydro-3-(carboxyamino)-2,3-dideoxy-β-D-xylopyranosyl]-2-deoxy-α-D-xylopyranosyl]amino]carbonyl]amino]-2-[(aminoiminomethyl)amino]-2,4,6-trideoxy-α-D-glucopyranosyl]oxy]phenyl]-2-propenamide,hydrochloride,(E)-,mixture with(E)-N-[3-[(4-aminobutyl)amino]propyl]3-[4-[[4-[[[[2-[(aminocarbonyl)amino]-4-O-[2-[(aminocarbony)amino]-32,4-anhydro-3-(carboxyamino)-2,3-dideoxy-β-D-xylopyranosyl]-2-deoxy-α-D-xyl-opyranosyl]amino]carbonyl]amino]-2-[(aminoiminomethyl)amino]-2,4,6-trideoxy-α-D-glucopyranosyl]oxy]phenyl]-2-propenamide hydrochloride.

(E)-N-[3[(4-氨丁酸)氨基]丙基]-对-[[4-[3-[4-O[2,3-(1-氨甲酰亚脲基)-2,3-二脱氧-β-D-吡喃木糖基]-2-脱氧-2-脲基-α-D-吡喃木糖基]脲基]-2,4,6-三脱氧-2-胍基-α-D-吡喃葡萄糖基]氧]肉桂酰胺盐酸盐与(E)-N-[3-(4-氨丁酸)氨基]丙基]-对-[[4-[3-[4-O-[3-(羧氨基)-2,3-二脱氧-2-脲基-β-D-吡喃木糖基]-2-脱氧-脲基-α-D-吡喃木糖基]脲基]-2,4,6-三脱氧-2-胍基-α-D-吡喃葡糖基]氧]肉桂酰胺分子内3″,4″酯盐酸盐的混合物。

(E)-N-[3-[(4-Aminobutyl)amino]propyl]-p-[[4-[3-[4-O-[2,3-(1-carbamoylureylene)-2,3-dideoxyβ-D-xylopyranosyl]-2-deoxy-2-ureido-α-D-xylopyranosyl]ureido]-2,4,6-trideoxy-2-guanidino-α-D-glucopyranosyl]oxy]cinnamamide hydrochloride mixture with(E)-N-[3-](4-aminobutyl)amino]propyl]-p-[[4-[3-[4-O-[3-(carboxyamino)-2,3-dideoxy-2-ureido-β-D-xylopyranosyl]-2-deoxy-2-ureido-α-Dxylopyranosyl]ureido]-2,4,6-trideoxy-2-guanidinoα-D-glucopyranosyl]oxy]cinnamamide intramolecular 3″,4″ester hydrochloride.抗生素类药。

Cinodine Hydrochloride,Cl 98984,Antibiotic BM 123 Hydrochloride.

随便看

 

离鸟网收录3541549条中英文词条,其功能与新华字典、现代汉语词典、牛津高阶英汉词典等各类中英文词典类似,基本涵盖了全部常用中英文字词句的读音、释义及用法,是语言学习和写作的有利工具。

 

Copyright © 2004-2024 vtrois.com All Rights Reserved
更新时间:2026/4/17 18:04:54