网站首页  词典首页


请输入您要查询的字词:

 

字词 盐酸西拉马朵
类别 中英文字词句释义及详细解析
释义 盐酸西拉马朵

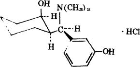
C15H23NO2·HCl=285.82

CAS-63323-46-6

CAS-63269-31-8(ciramadol)

[1R-[1α(R*),2α]]-(-)-3-[(二甲氨基)(2-羟环己基)甲基]苯酚盐酸盐。

1R-[1α(R*)2α]]-(-)-3-[(dimethylamino)(2-hydroxycyclohexyl)methyl]phenol,hydrochloride.

(-)-(1R,2R)-20[(R)-α-(二甲氨基)-间-羟苄基]环己醇盐酸盐。

(-)-(1R,2R)-2-[(R)-α-(Dimethylamino)-m-hydroxybenzyl]cyclohexanol hydrochloride.

镇痛药。

盐酸西拉马多。

Ciramadol Hydrochloride,WY-15,705 HCI,Cindol.

USAN.

随便看

 

离鸟网收录3541549条中英文词条,其功能与新华字典、现代汉语词典、牛津高阶英汉词典等各类中英文词典类似,基本涵盖了全部常用中英文字词句的读音、释义及用法,是语言学习和写作的有利工具。

 

Copyright © 2004-2024 vtrois.com All Rights Reserved
更新时间:2026/4/18 4:46:52