盐酸表柔比星
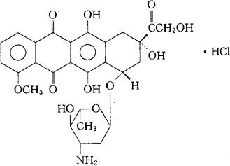
C27H29NO11·HCl=579.99 CAS-56390-09-1 CAS-56420-45-2(eepirubicin) (8S-顺式)-10-[(3-氨基-2,3,6-三去氧-α-L-阿拉伯-己吡喃糖基)氧]-7,8,9,10-四氢-6,8,11-三羟基-8-(羟基乙酰基)-1-甲氧基-5,12-并四苯二酮,盐酸盐。 (8S-cis)-10-[(3-Amino-2,3,6-trideoxy-α-L-arabinohexopyranosyl)oxy]-7,8,9,10-tetrahydro-6,8,11-trihydroxy-8-(hydroxyacetyl)-1-methoxy-5,12-naphthacenedione,hydrochloride. (1S,3S)-3-乙醇酰-1,2,3,4,6,11-六氢-3,5,12-三羟基-10-甲氧基-6,11-二氧代-1-并四苯基的3-氨基-2,3,6-三去氧-α-L-阿拉伯-己吡喃糖苷盐酸盐。 (1S,3S)-3-Glycoloyl-1,2,3,4,6,11-hexahydro-3,5,12-trihydroxy-10-methoxy-6,11-dioxo-1-naphthacenyl 3-amino-2,3,6-trideoxy-α-L-arabino-hexopyranoside hydrochloride. 抗生素类药。 盐酸表阿霉素。 Epirubicin Hydrochloride,IMI-28,Pharmorubicin. INN,BAN,DCIT,USAN. 
|