网站首页  词典首页


请输入您要查询的字词:

 

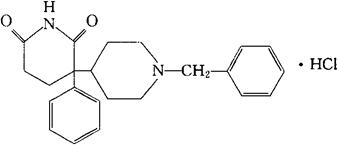
字词 盐酸苯苄哌酮
类别 中英文字词句释义及详细解析
释义 盐酸苯苄哌酮

C23H26N2O2·HCl=398.93

CAS-5633-14-7

CAS-119391-55-8(benzefimide)

3-苯基-1′-苄基-3,4′-联哌啶-2,6-二酮。

3-Phenyl-1′-benzyl-3,4′-bipiperidine-2,6-dione,monohydrochloride.

抗胆碱药。

盐酸苄替米特。

Benzetimide Hvdrochlorde,Dioxatrine,Spasmentral,

MCN-JR-4929-11,R4929.

INN(Benzefimide),USAN,MI.

随便看

 

离鸟网收录3541549条中英文词条,其功能与新华字典、现代汉语词典、牛津高阶英汉词典等各类中英文词典类似,基本涵盖了全部常用中英文字词句的读音、释义及用法,是语言学习和写作的有利工具。

 

Copyright © 2004-2024 vtrois.com All Rights Reserved
更新时间:2026/4/18 14:51:12