网站首页  词典首页


请输入您要查询的字词:

 

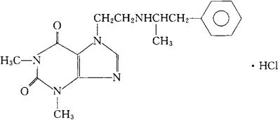
字词 盐酸芬乙茶碱
类别 中英文字词句释义及详细解析
释义 盐酸芬乙茶碱

C18H23N5O2·HCl=377.87

CAS-1892-80-4

CAS-3736-08-1(fenethylline)

3,7-二氢-1,3-二甲基-7-[2-[(1-甲基-2-苯乙基)-氨基]乙基]-1H-嘌呤-2,6-二二酮单盐酸盐。

3,7-Dihydro-1,3-dimethyl-7-[2-[(1-methyl-2-phenylethyl)amino]ethyl]-1H-purine-2,6-dione,monohydrochloride.

7-[2-[(α-甲基苯乙基)氨基]乙基]茶碱单盐酸盐。

7-[2-[(α-Methylphenethyl)amino]ethyl]theophylline monohydrochloride.

中枢兴奋药,精神兴奋药。

Fenethylline Hydrochloride,Fenetylline Hydrochloride,Captagon,H 814.

INN(Fenetylline),BAN,USAN.

随便看

 

离鸟网收录3541549条中英文词条,其功能与新华字典、现代汉语词典、牛津高阶英汉词典等各类中英文词典类似,基本涵盖了全部常用中英文字词句的读音、释义及用法,是语言学习和写作的有利工具。

 

Copyright © 2004-2024 vtrois.com All Rights Reserved
更新时间:2026/4/18 23:41:38