网站首页  词典首页


请输入您要查询的字词:

 

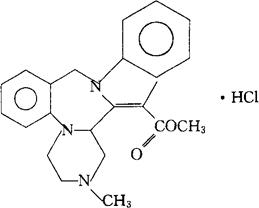
字词 盐酸舍氮平
类别 中英文字词句释义及详细解析
释义 盐酸舍氮平

C22H23N3O2·HCl=397.90

CAS-117581-05-2

CAS-115313-22-9(serazapine)

1,3,4,16b-四氢-2-甲基-2H,10H-吲哚并[2,1-c]吡嗪并[1,2-a][1,4]苯并二氮杂噁-16-羧酸,甲酯,单盐酸盐。

1,3,4,16b-Tetrahydro-2-methyl-2H,10H-indolo[2,1-c]pyrazino[1,2-a][1,4]benzodiazepine-16-carboxylic acid,methyl ester,monohydrochloride.

(±)-甲基1,3,4,16b-四氢-2-甲基-2H,10H-吲哚并[2,1-c]吡嗪并[1,2-a][1,4]苯并二氮杂噁-16-羧酸酯,单盐酸盐。

(±)-Methyl1,3,4,16b-tetrahydro-2-methyl-2H,10H-indolo[2,1-c]pyrazino[1,2-a][1,4]benzodiazepine-16 carboxylate,monohydrochloride.

抗焦虑药。

Serazapine Hydrochloride,CGS 15040A.

INN(Serazapine),USAN.

随便看

 

离鸟网收录3541549条中英文词条,其功能与新华字典、现代汉语词典、牛津高阶英汉词典等各类中英文词典类似,基本涵盖了全部常用中英文字词句的读音、释义及用法,是语言学习和写作的有利工具。

 

Copyright © 2004-2024 vtrois.com All Rights Reserved
更新时间:2026/4/17 23:25:38