网站首页  词典首页


请输入您要查询的字词:

 

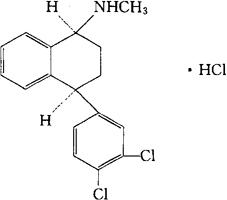
字词 盐酸舍曲林
类别 中英文字词句释义及详细解析
释义 盐酸舍曲林

C17H17Cl2N·HCl=342.70

CAS-79559-97-0

4-(3,4-二氯苯基)-1,2,3,4-四氢-N-甲基-1-萘胺盐酸盐。

4-(3,4-Dichlorophenyl)-1,2,3,4-tetrahydro-N-methyl-1-naphthylamine hydrochloride.

抗抑郁药。

Sertraline Hydrochloride.

USAN.

随便看

 

离鸟网收录3541549条中英文词条,其功能与新华字典、现代汉语词典、牛津高阶英汉词典等各类中英文词典类似,基本涵盖了全部常用中英文字词句的读音、释义及用法,是语言学习和写作的有利工具。

 

Copyright © 2004-2024 vtrois.com All Rights Reserved
更新时间:2026/4/18 7:41:07