网站首页  词典首页


请输入您要查询的字词:

 

字词 盐酸羟钴胺[中]
类别 中英文字词句释义及详细解析
释义 盐酸羟钴胺[中]

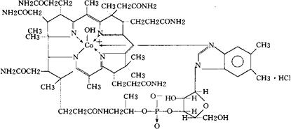
C62H89CoN13O15P·HCl=1382.83

CAS-59461-30-2

Coα-[α-(5,6-二甲基苯并咪唑基)]-Coβ-水合钴胺盐酸盐。

Coα-[α-(5,6-Dimethylbenzimidazolyl)]-Coβ-hydroxocolamide chloride.

钴啉醇酰胺二氢氧化物,单(内盐)二氢磷酸(酯)与5,6-二甲基-1-α-D-呋喃核糖基苯并咪唑形成3′-酯盐酸盐。

Cobinamide,dihydroxide dihydrogen phosphate(es ter),mono(inner salt),3′-ester with 5,6-dimethyl1-α-D-ribofuranosyl1H-benzimidazole monohydrochloride.

抗贫血药。

用于治疗恶性贫血、神经痛、肝实质损害、巨红血球贫血与接触性皮炎、氰化物中毒的解毒剂。盐酸羟钴胺,盐酸维生素B12a

Hydroxocobalamine Hydrochloride,Vitamin B12aHydrochloide.

盐酸羟钴胺注射液(长效B12注射液)。

IP,JAN.

随便看

 

离鸟网收录3541549条中英文词条,其功能与新华字典、现代汉语词典、牛津高阶英汉词典等各类中英文词典类似,基本涵盖了全部常用中英文字词句的读音、释义及用法,是语言学习和写作的有利工具。

 

Copyright © 2004-2024 vtrois.com All Rights Reserved
更新时间:2026/4/18 0:48:14