网站首页  词典首页


请输入您要查询的字词:

 

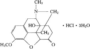
字词 盐酸羟考酮
类别 中英文字词句释义及详细解析
释义 盐酸羟考酮

C18H21NO4·HCl·3H2O=405.88

CAS-214-90-3

4,5α-环氧-14-羟3-甲氧-17-甲基吗啡喃-6-酮盐酸盐三水化合物。

4,5α-Epoxy-14-hydroxy-3-methoxy-17-methylmorphinan-6-one hydrochloride trihydrate.

(-)-14-羟二氢可待因酮盐酸盐。

(-)-14-Hydroxydihydro codeinone hydrochloride.

镇痛、镇咳药。

盐酸羟可待酮,欧可达,盐酸羟可酮(台)。

Oxycodone Hydrochloride,Eucodal.

FP,GDP,JP,USAN,MI.

随便看

 

离鸟网收录3541549条中英文词条,其功能与新华字典、现代汉语词典、牛津高阶英汉词典等各类中英文词典类似,基本涵盖了全部常用中英文字词句的读音、释义及用法,是语言学习和写作的有利工具。

 

Copyright © 2004-2024 vtrois.com All Rights Reserved
更新时间:2026/4/18 4:21:32