盐酸美沙洛尔
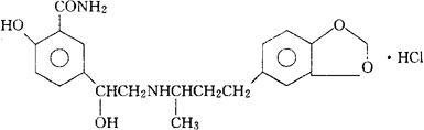
C20H24N2O5·HCl=408.88 CAS-70161-10-3 CAS-56290-94-9(medroxalol) 5-[2-[[3-(1,3-苯并二氧杂环戊烯-5-基)-1-甲基丙基]氨基]-1-羟乙基]-2-羟-苯甲酰胺,单盐酸盐。 5-[2-[[3-(1,3-Benzodioxol-5-yl)-1-methylpropyl]amino]-1-hydroxyethyl]-2-hydroxybenzamide,monohydrochloride. 5-[1-羟基-2-[[1-甲基-3-[3,4-(亚甲基二氧)苯基]丙基]氨基]乙基]水杨酰胺单盐酸盐。 5-[1-Hydroxy-2-[[1-methyl-3-[3,4-(methylenedioxy)phenyl]propyl]amino]ethyl]salicylamide monohydrochloride. β-受体阻滞药,抗高血压药。 Medroxalol Hydrochloride,RMI 81,968 A. INN(Medroxalol),USAN.  |