盐酸美替唑啉
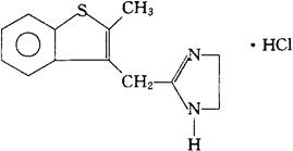
C13H14N2S·HCl=266.79 CAS-5090-37-9 CAS-17692-22-7(metizoline) 4,5-二氢-2-[(2-甲基苯并[b]噻吩-3-基)甲基]-1H咪唑单盐酸盐。 4,5-Dihydro-2-[(2-methylbenzo[b]thien-3-yl)methyl]-1H-imidazole,monohydrochloride. 2-[(2-甲基苯并[b]噻吩-3-基)甲基]-2-咪唑啉单盐酸盐。 2-[(2-Methylbenzo[b]thien-3-yl)methyl]-2-imidazoline monohydrochloride. 拟肾上腺素药(血管收缩药)。 Metizoline Hydrochloride,EX 10-781,RMI 10,482A,Ellsyl,Benazolin,Metigoline. INN(Metizoline),BAN(Metyzoline),USAN.  |