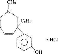
盐酸美普他酚
C15H23NO·HCl=269.81 CAS-59263-76-2 CAS-54340-58-8(meptazinol) 3-(3-乙基六氢-1-甲基-1H-吖庚因-基)酚盐酸盐。 3-(3-Ethylhexahydro-1-methyl-1H-azepin-yl)phe nol,hydrochloride. 间-(3-乙基六氢-1-甲基-1H-吖庚因-3-基)酚盐酸盐。 m-(3-Ethylhexahydro-1-methyl-1H-azepin-3-yl)phenol hydrochloride. 镇痛药。 盐酸美他西诺,盐酸美他齐诺(中)。 Meptazinol Hydrochloride,WY 22811 HCl,IL 22811 HCl,Meptid,Meptidol,Meptadol. INN & BAN(Meptazinol),USAN.  |