网站首页  词典首页


请输入您要查询的字词:

 

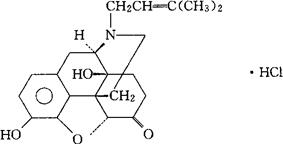
字词 盐酸纳美酮
类别 中英文字词句释义及详细解析
释义 盐酸纳美酮

C21H25NO4·HCl=391.89

CAS-16676-27-0

CAS-16291-05-7(replaced)

CAS-16676-26-9(nalmexone)

(5α)-4,5-环氧-3,14-二羟-17-(3-甲基-2-丁烯基)吗啡喃-6-酮盐酸盐。

(5α)-4,5-Epoxy-3,14-dihydroxy-17-(3-methyl-2-butenyl)morphinan-6-one,hydrochloride.

4,5α-环氧-3,14-二羟-17-(3-甲基-2-丁烯基)吗啡喃-6-酮盐酸盐。

4,5α-Epoxy-3,14-dihydroxy-17-(3-methyl-2-butenyl)morphinan-6-one hydrochloride.

镇痛药。

Nalmexone Hydrochloride,EN-1620A.

INN(Nalmexone),USAN.

随便看

 

离鸟网收录3541549条中英文词条,其功能与新华字典、现代汉语词典、牛津高阶英汉词典等各类中英文词典类似,基本涵盖了全部常用中英文字词句的读音、释义及用法,是语言学习和写作的有利工具。

 

Copyright © 2004-2024 vtrois.com All Rights Reserved
更新时间:2026/4/17 21:16:51