盐酸纳布啡
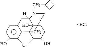
C21H27NO4·HCl=393.91 CAS-23277-43-2 CAS-20594-83-6(nalbuphine) (5α,6α)-(17-环丁甲基)-4,5-环氧吗啡喃-3,6,14-三醇,盐酸盐。 (5α,6α)-17-(Cyclobutylmethyl)-4,5-epoxymorphinan-3,6,14-triol,hydrochloride. 17-(环丁甲基)-4,5α-环氧吗啡喃-3,6α,14-三醇盐酸盐。 17-(Cyclobutylmethyl)-4,5α-epoxymorphinan-3,6α,14-triol hydrochloride. 镇痛药。 Nalbuphine Hydrochloride,EN-2234A. INN(Nalbuphine),USAN.  |