盐酸米那普令
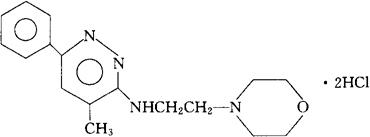
C17H22N4O2·2HCl=371.31 CAS-25953-17-7 CAS-25905-77-5(minaprine) N-(4-甲基-6-苯基-3-哒嗪基)-4-吗啉乙胺二盐酸盐。 N-(4-Methyl-6-phenyl-3-pyridazinyl)-4-morpholineethanamine,dihydrochloride. 4-[2-[(4-甲基-6-苯基-3-哒嗪基)氨基]乙基]吗啉二盐酸盐。 4-[2-[(4-Methyl-6-phenyl-3-pyridazinyl)amino]ethyl]morpholine dihydrochloride. 抗抑郁药,惊厥药。 Minaprine Hydrochloride, 30038CB, Cantor,Isopulsan,Agr 620,Nortimic. INN,USAN.  |