网站首页  词典首页


请输入您要查询的字词:

 

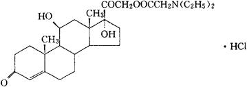
字词 盐酸氢可他酯
类别 中英文字词句释义及详细解析
释义 盐酸氢可他酯

C27H41NO6·HCl=512.08

CAS-125-03-1

CAS-76-47-1(hydrocortamate)

11β,17α,21-三羟孕甾-4-烯-3,20-酮21-二乙氨乙酸酯盐酸盐。

11β,17α,21-Trihydroxypregn-4-ene-3,20-dione21-diethylaminoacetate hydrochloride.

肾上腺皮质激素类药。

Hydrocortamate Hydrochloride.

INN(Hydrocortamate),USAN.

随便看

 

离鸟网收录3541549条中英文词条,其功能与新华字典、现代汉语词典、牛津高阶英汉词典等各类中英文词典类似,基本涵盖了全部常用中英文字词句的读音、释义及用法,是语言学习和写作的有利工具。

 

Copyright © 2004-2024 vtrois.com All Rights Reserved
更新时间:2026/4/18 9:59:21