网站首页  词典首页


请输入您要查询的字词:

 

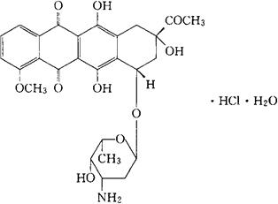
字词 盐酸正定霉素[典]
类别 中英文字词句释义及详细解析
释义 盐酸正定霉素[典]

C27H29NO10·HCl·H2O=582.02

CAS-23541-50-6

CAS-20830-81-3(daunorubicin)

(1S,3S)-3-乙酰-1,2,3,4,6,11-六氢-3,5,12-三羟-10-甲氧-6,11-二氧-1-并四苯基3-氨基-2,3,6-三去氧-α-L-来苏-己吡喃糖甙盐酸盐一水化合物。

(1S,3S)-3-Acetyl-1,2,3,4,6,11-hexahydro-3,5,12-trihydroxy-10-methoxy-6,11-dioxo-1-naphthacenyl 3-amino-2,3,6-trideoxy-α-L-lyxo-hexopyranoside hydrochloride hydrate.

抗肿瘤药。用于急性白血病及慢性淋巴细胞白血病,也用于恶性淋巴病等。

盐酸柔红霉素,盐酯红比霉素,红卫霉素,红保霉素C。

Daunorubicin Hydrochloride,Chengdingmycin Hydrochloride,Cerubidine,Rubidomycin Hydrochlo ride.

注射用盐酸正定霉素。

INN & BAN(Daunorubicin),JAN,USAN,USP,MI.

随便看

 

离鸟网收录3541549条中英文词条,其功能与新华字典、现代汉语词典、牛津高阶英汉词典等各类中英文词典类似,基本涵盖了全部常用中英文字词句的读音、释义及用法,是语言学习和写作的有利工具。

 

Copyright © 2004-2024 vtrois.com All Rights Reserved
更新时间:2026/4/18 9:12:06