盐酸曲安奈德
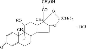
C24H31FO6·HCl=470.96 CAS-76-25-5 9-氟-11β,16α,17,21-四羟孕甾-1,4-二烯-3,20-二酮与丙酮形成环-16,17乙缩醛的盐酸盐。 9-Fluoro-11β,16α,17,21-tetrahydroxypregna-1,4-diene-3,20-dione cyclic-16,17-acetal with acetonehydrochloride. (11β,16α)-9-氟-11,12-二羟-16,17-[(1-甲基亚乙基)双(氧)]-孕甾-1,4-二烯-3,20-二酮盐酸盐。 (11β,16α)-9-Fluoro-11,12-dihydroxy-16,17-[(1-methylethylidene)bis(oxy)]-pregna-1,4-diene-3,20-dione hydrochloride. 肾上腺皮质激素类药。 用于活动性风湿性及类风湿性关节炎。 氟羟氢化泼尼松缩丙酮盐酸盐,盐酸去炎舒松,盐酸去炎松A,盐酸确炎舒松A,盐酸曲安缩松。 Triamcinolone Acetonide Hydrochloride. 盐酸曲安缩松软膏,盐酸曲安缩松注射液。 
|