盐酸普萘洛尔[典]
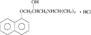
C16H21NO2·HCl=295.81 CAS-318-98-9 1-(异丙氨基)-3-(1-萘氧)-2-丙烷醇盐酸盐。 1-(Isopropylamino)-3-(1-naphthyloxy)-2-propanol hydrochloride. β-受体阻滞药。用于心动过速、心房扑动、心房颤动、早搏、心绞痛及高血压。 盐酸心得安,恩特来,盐酸普潘奈(台),盐酸异丙胺萘氧丙醇(台)。 Propranolol Hydrochloride,Inderal. 盐酸普萘洛尔片(心得安片),盐酸普萘洛尔注射液。 BP,GDP,JAN,USAN,USP,MI.  |