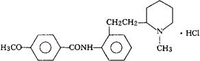
盐酸恩卡尼
C22H28N2O2·HCl=388.94 CAS-66794-74-9 CAS-37612-13-8(encainide (±)-4-甲氧基-N-[2-[2-(1-甲基-2-哌啶基)乙基]苯基]苯甲酰胺盐酸盐。 (±)-4-Methoxy-N-[2-[2-(l-methyl-piperidinyl)ethyl]phenyl]benzamide,monohydrochloride. (±)-2′-[2-(1-甲基-2-哌啶基)乙基]-对-茴香酰苯酰胺单盐酸盐。 (±)-2′-[2-(1-Methyl-2-piperidyl)ethyl]-p-anisanilide monohydrochloride. 抗心律失常药。 盐酸恩卡胺。 Encainide Hydrochloride,Enkaid,MJ 9067-1. INN & BAN(Encainide),USAN.  |