盐酸异他林
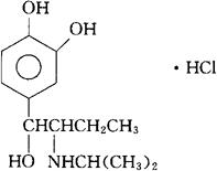
C13H21NO3·HCl=275.77 CAS-2576-92-3 CAS-530-08-5(isoefharine) 4-[1-羟-2-[(1-甲基乙基)氨基]丁基]-1,2-苯二醇盐酸盐。 4-[1-Hydroxy-2-[(1-methylethyl)amino]butyl]-1,2-benzenediol,hydrochloride. 3,4-二羟-α-[1-(异丙氨基)丙基]苄醇盐酸盐。 3,4-Dihydroxy-α-[1-(isopropylamino)propyl]benzyl alcohol hydrochloride. α-(1-异丙氨基)-儿原茶基醇,盐酸盐。 α-(1-Isopropylaminopropyl)protocatechuyl alcohol hydrochloride. 支气管扩张药。 Isoetharine Hydrochloride,Isoefarine Hydrochlorlde,Numotac,Asthmalitan. BAN,SUAN,USP.  |