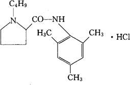
盐酸布美卡因
C18H28N2O·HCl=324.89 CAS-19089-24-8 1-丁基-2,4,6-三甲基-2-吡咯烷甲酰苯胺。 1-Butyl-2,4,6-trimethyl-2-pyrrolidinecarboxanilide. 1-丁基-N-(2,4,6-三甲基苯基)-2-吡咯烷甲酰胺。 1-Butyl-N-(2,4,6-trimethylphenyl)-2-pyrrolidinecarboxamide. 局部麻醉药。2~2.5%溶液供临床应用。 盐酸吡甲卡因,盐酸丁麦卡因。 Bumecaine Hydrochloridum,Pyromecaine Hydrochloridum.  |