网站首页  词典首页


请输入您要查询的字词:

 

字词 盐酸布比卡因[典]
类别 中英文字词句释义及详细解析
释义 盐酸布比卡因[典]

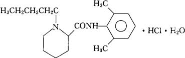
C18H28N2O·HCl·H2O=342.91

CAS-14252-80-3

(±)-1-丁基-2′,6′甲基哌啶酰-二甲苯胺盐酸盐水化合物。

(±)-1-Butyl-2′,6′-pipecoloxylidide monohydrochloride monohydrate.

局部麻醉药。用于表面麻醉、浸润麻醉、神经传导阻滞及硬膜外阻滞。

盐酸丁派卡因,盐酸马卡因,盐酸丁吡卡因。

Bupivacaine Hydrochloride,Marcaine,Sensorcaine.

盐酸布比卡因注射液(布比卡因注射液,丁哌卡因注射液)。

BP,JAP,USAN,USP,MI.

随便看

 

离鸟网收录3541549条中英文词条,其功能与新华字典、现代汉语词典、牛津高阶英汉词典等各类中英文词典类似,基本涵盖了全部常用中英文字词句的读音、释义及用法,是语言学习和写作的有利工具。

 

Copyright © 2004-2024 vtrois.com All Rights Reserved
更新时间:2026/4/19 11:44:01