盐酸巴肯西林
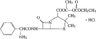
C21H27N3O7S·HCl=501.98 CAS-37661-08-8 6-(2-氨基-2-苯基乙酰胺基)-3,3-二甲基-7-氧-4-硫杂-1-氮杂双环[3.2.0]庚烷-2-羧酸1-(乙氧羧基)乙酯,盐酸盐。 6-(2-Amino-2-phenylacetamido)-3,3-dimethyl-7-oxo-4-thia-1-azabicyclo[3.2.0]heptane-2-carboxylicacid 1-(ethoxycarboxy)ethyl esterhydrochloride. 抗生素类药。 盐酸巴氨西林。 Bacampicillin Hydrochloride,Bacacil,Ambacamp,Spectrobid. USAN,USP,MI.  |