盐酸巴米茶碱
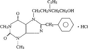
C20H27N5O3·HCl=421.93 CAS-20684-06-4 CAS-2016-63-9(bamifylline) 7-[2-[乙基-(2-羟基乙基)氨基]单乙基]-3,7-二氢-1,3-二甲基-8-(苯基甲基)-1H-嘌呤-2,6-二酮,单盐酸盐。 7-[2-[Ethy1(2-hydroxyethyl)amino]ethyl]-3,7-dihydro-1,3-dimethyl-8-(phenylmethyl)-1H-purine-2,6-dione,monohydrochloride. 8-苄基-7-[2-[乙基(2-羟乙基)氨基]乙基]苯碱单盐酸盐。 8-Benzyl-7[2-[ethyl(2-hydroxyethyl)amino]ethyl]theophylline monohydrochloride. 中枢兴奋药。 Bamifylline Hydrochloride,AC 3810,8102 CB,BAX2739Z. INN & BAN(Bamifylline),USAN.  |